![]()
Use the program evaluate in the directory
/mit/13.016/ProblemSets/PS5/Subdivide to split the Bézier curve into three
smaller Bézier curves. The three Bézier curves are generated by splitting
the curve
at parametric value
followed by splitting the second of the resulting curves at ( its own) parametric value
.
Turn in a list of the control points of the initial curve, the two intermediate curves, and the final three curves. Also, create a plot of the initial, intermediate, and final control polygons of the Bézier curves, and of the initial Bézier curve evaluated at 100 evenly distributed points using the same algorithm. Use OpenGL in creating your plots. Turn in your code and results via e-mail to trjackso@mit.edu.
A skeleton program called `xform_cube' to get you started is provided in the course locker, /mit13.016/ProblemSets/PS5.
Hand in your plots illustrating the different sequences and submit your source code via email to trjackso@mit.edu.
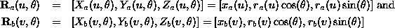
Let us define the profile of the AUV in terms of Bézier curves
and
which specify the radius of the curve at the corresponding longitudinal
position. The control points for the profile curves are


The surface of an AUV can be described by revolving the profile around the x -axis. Mathematically, this can be expressed as
![]()
where
,
, and
is the angle measured from the xy plane.
A skeleton program called `vis_auv' to get you started is provided in the course locker, /mit13.016/ProblemSets/PS5.
Hand in plots illustrating your wirefame and surface rendering of the AUV and paper work showing your calculation of the unit normals of the surfaces. Submit your source code via email to trjackso@mit.edu.